Керування частотною характеристикою гучномовця за допомогою зміни його зовнішнього оформлення
Основний зміст сторінки статті
Анотація
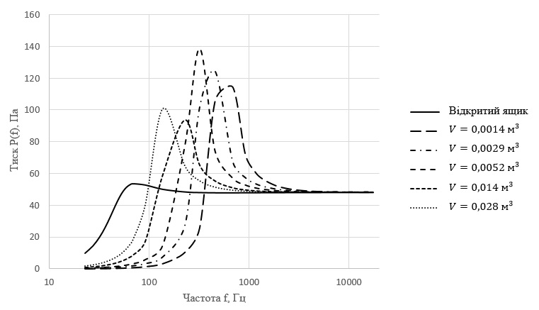
У даній статті аналізується спосіб керування частотною характеристикою низькочастотного гучномовця шляхом зміни об’єму його акустичного оформлення – закритого ящика. Розрахунок виконується методом Тіля-Смола. Одержані результати порівнюються з відповідними характеристиками для відкритого зовнішнього оформлення.
Блок інформації про статтю

Ця робота ліцензується відповідно до Creative Commons Attribution 4.0 International License.
Автори, які публікуються у цьому журналі, погоджуються з наступними умовами:- Автори залишають за собою право на авторство своєї роботи та передають журналу право першої публікації цієї роботи на умовах ліцензії Creative Commons Attribution License, котра дозволяє іншим особам вільно розповсюджувати опубліковану роботу з обов'язковим посиланням на авторів оригінальної роботи та першу публікацію роботи у цьому журналі.
- Автори мають право укладати самостійні додаткові угоди щодо неексклюзивного розповсюдження роботи у тому вигляді, в якому вона була опублікована цим журналом (наприклад, розміщувати роботу в електронному сховищі установи або публікувати у складі монографії), за умови збереження посилання на першу публікацію роботи у цьому журналі.
- Політика журналу дозволяє і заохочує розміщення авторами в мережі Інтернет (наприклад, у сховищах установ або на особистих веб-сайтах) рукопису роботи, як до подання цього рукопису до редакції, так і під час його редакційного опрацювання, оскільки це сприяє виникненню продуктивної наукової дискусії та позитивно позначається на оперативності та динаміці цитування опублікованої роботи (див. The Effect of Open Access).
Посилання
V. S. Didkovskyi, S. A. Lunova, and O. V. Bohdanov, Arkhitekturna Akustyka [Architectural Acoustics]. Kyiv: NTUU “KPI,” 2012, ISBN: 978-966-189.
M. Colloms and P. Darlington, High Performance Loudspeakers. Wiley, 2018, ISBN: 9781118413531.
G. Hill, Loudspeaker Modelling and Design. New York: Routledge, 2018, ISBN: 9781351116428.
L. L. Beranek and T. Mellow, Acoustics: Sound Fields and Transducers. Elsevier, 2012, ISBN: 9780123914217.
C. Ramón and F. Sales, “Design of loudspeaker enclosures: closed box,” Universitat Politècnica de València, 2020.
I. A. Aldoshina et al., Elektroakustika i zvukovoe veschanie [Electroacoustics and sound broadcasting]. Moscow: Nauchno-tehnicheskoe izdatelstvo “Goryachaya liniya-Telekom,” 2007, ISBN: 5-93517-334-4.
E. N. Salnikova and L. G. Statsenko, Akusticheskie sistemyi [Acoustic systems]. Moscow: Izdatelstvo “Prospekt,” 2015, ISBN: 978-5-392-19206-9.
C. Ramón and F. Sales, “Design of loudspeaker enclosures: bass-reflex,” Universitat Politècnica de València, 2020. URI: http://hdl.handle.net/10251/136294
J. Eargle, Loudspeaker Handbook. Boston, MA: Springer US, 2003, ISBN: 978-1-4419-5390-2.
I. A. Aldoshina, “Gromkogovoriteli 5.2 [Loudspeakers 5.2],” Muzyikalnoe Oborudovanie, no. 12 (168), pp. 51–58, 2008, [Online]. Available: http://www.moinf.info/articles/ loudspeakers-5-2. (Access date: 01.04.2021).



